GLAST/LAT > DAQ and FSW > FSW > "use" tree

OCS Package Overview


Purpose

The OCS package (in maintenance) contains routines that are specific to the Online Command Server. It supports the following functions:

OCS "use" summary (help)

Constituents

ocs D ?

Other Links

Packet(s):
Project: TSS (Test Stand Support)
Task(s):
Used by:
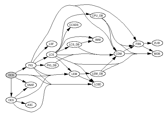
Uses: CMX, GNAT, LCBD, LEM, MSG, OES, PIG, VXW
Doxygen: V0-0-0, V1-0-0, V1-0-1, V2-0-0, V2-0-2, V2-1-0, V2-1-1, V2-2-0, V2-2-1, V2-3-0, V2-4-0, V2-4-1, V2-4-2, V2-5-0, V2-5-1, V2-5-2, V2-5-3, V3-0-0, V4-0-0, V4-1-0, V5-0-0, V5-1-0, V6-0-0, V6-0-1, V6-0-2, V6-0-3, V6-0-4, V6-0-5, V6-0-6, V6-0-7, V6-1-0, V6-1-1, V6-1-2, V7-0-0, V7-1-0, V7-2-0, V7-2-1, V7-3-0, V7-4-0, V7-5-0, V7-5-1, V7-6-0, V7-7-0, V7-7-1, V7-8-0, V7-8-1, V7-9-0, V7-9-2, V7-9-3, dev, prod
LTX:
MSG by code:
MSG by name:
Author: Selim Tuvi
Manager: Richard Claus