GLAST/LAT > DAQ and FSW > FSW > "use" tree

CTS_DB Package Overview


Purpose

The CTS_DB package (in maintenance) contains routines that are specific to the configuration database for the CTS system.

CTS_DB "use" summary (help)

Constituents

cts_data D ?

Other Links

Packet(s):
Project: CDM (Configuration)
Task(s):
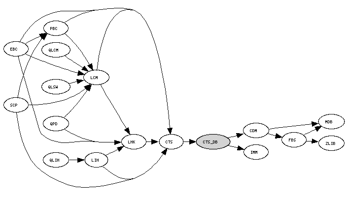
Used by: CTS
Uses: CDM, CMX, IMM, VXW
Doxygen: V0-0-0, dev, prod
LTX:
MSG by code:
MSG by name:
Author: Anthony P Waite
Manager: Anthony P Waite